4 磨削力適應控制系統的控制器設計
4.1 被控對象分析
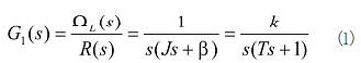
控制器是控制系統的核心部分,控制器設計的好壞關系著系統的性能是否優良。而控制器的設計主要依賴的是被控過程(對象)的數學模型。對線性系統的微分方程進行拉氏變換,可以得到被控對象在復數域中的數學模型,即傳遞函數。傳遞函數不僅可以表征系統的動態性能,而且可以用來研究系統的結構或參數變化對系統性能的影響,而且控制器的設計也是根據相對應的傳遞函數所表征的特性進行的[4]。所以要先求出被控對象的傳遞函數。常數輸入下被控對象的傳遞函數是: 
在磨削力作用下的被控對象的傳遞函數是:

4.2 PID 控制器的設計
PID 控制器又稱 PID 調節器,是工業過程控制系統中常用的有源校正裝置。在工業控制中,按偏差的比例、積分和微分進行控制的 PID 控制具有原理簡單、易于實現、適用面較寬等優點。近半個世紀來一直是應用最廣泛的一種控制器,技術人員和操作人員對它最熟悉。近 20 多年,雖然出現了各種各樣的先進控制策略,但絕大多數實際的工業過程可以采用 PID 方法或者其變形來實現控制。有資料表明,至今在全世界過程控制中用的控制器 80% 左右仍是純 PID 調解器。
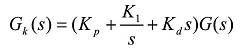
線性離散系統的設計方法,主要有模擬化設計和離散化設計兩種。模擬化設計方法按連續系統理論設計校正裝置,再將該校正裝置數字化。離散化設計方法又稱直接數字設計法,把控制系統按離散化(數字化)進行分析,求出系統的脈沖傳遞函數,然后按離散系統理論設計數字控制器。這里采用模擬化的設計方法。上節中已經行到了 G(s),PID 控制系統的開環傳遞函數為:
則經過 PID 校正后的系統為 I 型系統,增加了系統的型次,如果在擾動作用點之前的前向通道或主反饋通道中設置 1 個積分環節,必可消除系統在階躍擾動信號作用下的穩態誤差。PID 控制器在擾動作用點之前提供了一個積分環節,所以可以消除在階躍信號作用下的穩態誤差。通常將階躍信號作為考察系統性能的典型信號輸入,視階躍信號為最嚴峻的工作狀態,若在階躍信號的作用下系統的性能滿足要求,則控制系統的設計是可行的。
如果實際加工過程中有具體要求,則可以按照下面方法確定參數。首先由穩態誤差確定積分增益系數 K1,因為系統的穩態誤差可表示為: 
這樣便完成了 PID 控制器的設計,根據加工時的具體要求,將各參數值代入相關公式,便可最終確定 PID 控制器。
4.3 PID 控制器在適應控制中的問題分析
PID 控制器參數的整定是根據被控過程的傳遞函數。由于在磨削力模型的推導過程中,存在誤差,例如機構等效、簡化引起的轉動慣量,阻尼系數的誤差,所以會對PID 控制器參數整定有影響。
比例部分是增加開環增益和系統通頻帶,如果誤差部分影響的是比例部分就是會使系統變得不穩定;如果誤差影響的是積分的部分,是使系統相角裕度變小,穩定性變差;如果誤差影響的是微分的作用,會增加高頻增益,使系統中的高頻噪聲放大,而磨削過程中肯定會引入高頻噪聲,所以會影響系統正常工作。
5 結語
總之,隨著計算機、自動控制技術的發展,再加上數控系統正向著開放式,智能化的方向發展,這自然會使把計算機技術、自動控制技術與磨削力控制聯系到一起,去解決磨削當中的實際問題。根據加工材料種類和零件復雜程度的不同,適應控制系統的生產率比傳統數控系統可明顯提高。
本文由 伯特利數控文章 整理發表,文章來自網絡僅參考學習,本站不承擔任何法律責任。
2018-07
FANUC 0 系統 序號 故障征兆 故障原因 解決辦法 1 當選完刀號后,X、Y軸移動的同時,機床也進行換刀的動作,但是,X、Y軸移動的距離,與X、Y軸的移動指令不相吻合,并且每次的實際移動距離與移動指令之差還不一樣 沒有任何報警,應屬于參數問題。 1.修改參數0009號TMF… [了解更多]
2016-01
600 加工中心出于提高工效和降低員 工勞動強度的需要,加裝了一臺 能自動完成上、下料工作的機器 人。當機器人完成上料后,防護 門關閉,工件自動裝夾,加工完 成后,工裝放松,防護門打開, 再由機器人卸料。 1. 硬件要求 此次改造中,我們新增了能 實現自動裝夾的氣動工裝,自動 打… [了解更多]
2015-10
描述 本實用新型涉及一種刀具夾緊機構,特別是一種數控落地機床的刀具夾緊機構。 背景 與普通機床相比,數控機床的工藝范圍更寬,工藝能力更強,其主傳動具有較寬的 調速范圍,以保證在加工時能選用合理的切削用量,從而獲得最佳的加工質量和生產率?,F 代數控機床的加工中心主軸部件是機床的… [了解更多]