現代無線通訊技術的蓬勃發展 使射頻收發機的設計在性能 成本以及功耗上的要求越來越高 尤其是隨著 CMOS 工藝的特征尺寸進入到深亞微米和超深亞微米階段 傳統的壓控振蕩器已無法滿足射頻收發機的高性能要求 而近年來 數字射頻的思路已越來越多的應用于無線通訊領域 它利用了深亞微米 CMOS 工藝下數字電路相比于模擬電路存在較快的晶體管翻轉速度 更精細的晶體管尺寸控制以及更高的電路集成度等獨特優勢 采用數字方法來實現傳統射頻電路的功能 本文將詳細介紹應用于無線收發系統的數控振蕩器的設計方法以及其性能上的優點
1 全數控振蕩器的概念所謂數控振蕩器其實就是一個從數字到頻率的轉換器 Digital-To-Frequency Conversion DFC [1]即通過輸入一組數字頻率控制字 FCW 來控制和改變振蕩器的輸出信號頻率 用數學公式表示即為f0=f(FCW) (1)
因為 LC 諧振回路本身具有帶通濾波的特性 因而技術上遍及選用數控 LC 振動器 在 DCO 中咱們選用數控 MOS 變容管陣列來進行頻率的調理 且 DCO 中的 MOS 變容管工作在電容-電壓曲線上十分平整的兩個區域 分別是強反型高電容區和耗盡型低電容區 在這兩個區域內 電容管的電容值隨操控電壓的改變不明顯 因而 對于疊加在操控電壓上的各種電路噪聲也不敏感 DCO 輸出信號中的相位噪聲比較低[2]
在 LC 諧振回路中 振動信號的頻率由下式決議

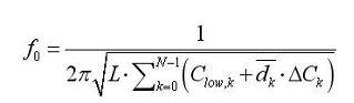
在 DCO 中 我們將總電容分成了 N 份獨立的數控變容管 而總電感保持不變 式 2 變成

我們可以得到 DCO 的電路結構圖如圖 1 所示 圖中的 負阻電路是負責補充維持 LC 回路振蕩所需的能量 通常由連接成正反饋形式的有源放大器實現

2 數控變容管
DCO 中的數控變容管一般由兩個連接成差分形式的相同尺寸的PMOS 或 NMOS 管組成 如圖 2 所示 由于 PMOS 處于單獨的 N 阱中

受襯底噪聲的影響較小 因此工藝上一般采用 PMOS 變容管 根據數字控制字 dk 的值
在差分變容管的源極 漏極和襯底上產生相應的控制電壓 Vhign 或者 Vlow 使變容管工作在
高電容區或低電容區 圖中的緩沖器除了用于建立使 MOS 變容管工作在高 低電容區所
需的控制電壓外 還起到隔離來自數字電路的耦合噪聲的作用
實際應用過程中 工作在耗盡型低電容區的變容管很容易進入累積區 而累積區的
電容值會升高 為了防止這一現象的發生 我們可以將 PMOS 變容管對的襯底接到電源
電壓上 形成反型數控 PMOS 變容管 這樣在很大范圍內 Vg 都不會大于 Vb 管子不會進入累積區[3]
經過上述分析 可知變容管陣列中的電容可以根據各自對應的數字控制字分別工作
在高電容狀態 Chigh,k 和低電容狀態 Clow,k 高低電容狀態下的電容差值可表示為
ΔCk=Chigh,k-Clow,k
Ck 就是第 k 個數控變容管在數字控制字 dk 下的有效變容值 也即
Ck=Clow,k+dk· ΔCk
因此式 3 變成

當 d0,d1,d2 dn-1 按照二進制排列時 其中最高位的數字信號 dn-1 控制電容陣列中 Ck 最大的電容 Cn-1,依此類推 最低位的信號d0 控制 Ck 最小的電容 C0 顯然 DCO 的調頻精度由 C0 決定 對式 6 中的頻率 f0 以 C 為變量求導 得到

其中 f0 為 DCO 當前的振蕩頻率 Ctotal
為諧振回路的總電容值 為了能更精確的調節振蕩
頻率 在 DCO 中 人們通過高速抖動數控 MOS 變容管的方法可以得到相當于原來八分之一
的最小有效變容值 這樣 DCO 頻率調節的精度就提高了 8 倍[4]
本文由 伯特利技術文章 整理發表,文章來自網絡僅參考學習,本站不承擔任何法律責任。
伯特利數控一直以盡心、盡力、盡意的態度把握每一臺 加工中心、鉆攻中心的質量
相關文章可查閱本站:技術文章 或本文下方 標簽 分類
相關產品可查閱本站:產品中心
2018-07
FANUC 0 系統 序號 故障征兆 故障原因 解決辦法 1 當選完刀號后,X、Y軸移動的同時,機床也進行換刀的動作,但是,X、Y軸移動的距離,與X、Y軸的移動指令不相吻合,并且每次的實際移動距離與移動指令之差還不一樣 沒有任何報警,應屬于參數問題。 1.修改參數0009號TMF… [了解更多]
2016-01
600 加工中心出于提高工效和降低員 工勞動強度的需要,加裝了一臺 能自動完成上、下料工作的機器 人。當機器人完成上料后,防護 門關閉,工件自動裝夾,加工完 成后,工裝放松,防護門打開, 再由機器人卸料。 1. 硬件要求 此次改造中,我們新增了能 實現自動裝夾的氣動工裝,自動 打… [了解更多]
2015-10
描述 本實用新型涉及一種刀具夾緊機構,特別是一種數控落地機床的刀具夾緊機構。 背景 與普通機床相比,數控機床的工藝范圍更寬,工藝能力更強,其主傳動具有較寬的 調速范圍,以保證在加工時能選用合理的切削用量,從而獲得最佳的加工質量和生產率。現 代數控機床的加工中心主軸部件是機床的… [了解更多]